answer.
Ask question
Login Signup
Ask question
All categories
  • English
  • Mathematics
  • Social Studies
  • Business
  • History
  • Health
  • Geography
  • Biology
  • Physics
  • Chemistry
  • Computers and Technology
  • Arts
  • World Languages
  • Spanish
  • French
  • German
  • Advanced Placement (AP)
  • SAT
  • Medicine
  • Law
  • Engineering
ki77a [65]
2 years ago
15

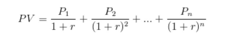
McCann Co. has identified an investment project with the following cash flows.

Business
1 answer:
Hatshy [7]2 years ago
4 0

Answer:

Present value when discount rate is 10% = $3765.26

Present value when discount rate is 16% = $3,279.43

Present value when discount rate is 25% = $2,715.52

Explanation:

Present value can be calculated by discounting the cash flows at the discount rate.

Present value can be calculated using a financial calculator:

 

Cash flow for year 1 = $820 

Cash flow for year 2 = $ 1,130 

Cash flow for year 3 = $1,390 

Cash flow for year 4 = $1,525

Present value when discount rate is 10% = $3765.26

Present value when discount rate is 16% = $3,279.43

Present value when discount rate is 25% = $2,715.52

I hope my answer helps you

You might be interested in
Edgerron Company is able to produce two products, G and B, with the same machine in its factory. The following information is av
Ivenika [448]

Answer:

                                                             Product G           Product B

Selling price per unit                              $120                   $160

Variable costs per unit                            $40                    $90

Contribution margin per unit                  $80                    $70

Machine hours per unit                    0.4 hours              1.0 hours

Max. unit sales per month               600 units              200 units

machine operate 8 hours per day during 22 days per month, total hours of machine work per month = 176

                                                         Product G             Product B

Machine hours per unit                    0.4 hours              1.0 hours

Contribution margin per                    $200                      $70

machine hour

number of hours needed to               240                      200             440

produce maximum sales                                                                  in total

Currently the company should only produce Product G, since it is able to produce 440 units per month and that generates a contribution margin of $35,200.

If the company decides to produce in two shifts, then it should produce 600 units of Product G (using 240 machine hours) and use the remaining 112 machine hours to produce 112 units of product B. This will generate a total contribution margin of: $48,000 +$7,840 = $55,840.

The additional contribution margin generated = $55,840 - $35,200 = $20,640, which is higher than the additional costs generated by working in two shifts. The second shift will increase the company's p´profits by $5,640 (= $20,640 - $15,000).

8 0
2 years ago
Acme Sales calls its customers after they purchase an automobile from the dealership. In addition, every year customers are aske
iren [92.7K]

Answer:

open

Explanation:

Based on the description provided, it seems that Acme Sales is an example of an open system. This is a system that has external interactions which deals with information, energy, or material transfers into or out of the system boundary. In this scenario, Acme Sales is transferring information to and from the company by asking their customers questions over the phone which the clients are providing this information.

6 0
2 years ago
Jackie’s Coffee is a sit-down café with a wait staff that takes customers’ orders. Jackie's competitor, Johnny's Coffee Shack, s
Pani-rosa [81]

Answer:

differentiated by quality/design

Explanation:

In this scenario the two coffee shops have different strategies for sale. While Jackie's coffee is a sit down cafe with a waiter service that takes personalised orders, Johnny's coffee sells at various kiosks it owns.

These two businesses are differentiated by quality or design. Jackie's has more quality because of the personalised service provided to customers.

Jackie uses design of a sit down cafe in one location, while Johnny's business design is to sell coffee at various locations (kiosks)

3 0
2 years ago
An FI has a $100 million portfolio of six-year Eurodollar bonds that have an 8 percent coupon. The bonds are trading at par and
PilotLPTM [1.2K]

Answer:

A. 823.74

B.$4,614,028.00 gain

C.-$4,629,629.63

D.$2,678,000

Explanation:

a.

Np= Bond Portfolio Value/δ*B*D

=$100,000,000/-0.625*-10.1*$96,157

=823.74

Approximately 824 Contract

b.

A $100,000 20-year, eight percent bond selling at $96,157 implies a yield of 8.4 percent.

∆P = ∆p * Np= 824 * -0.625 * -10.1/1.084 * $96,157 * 0.01 = $4,614,028.00 gain

c.

∆PVBond= -5 * .01/1.08 * $100,000,000 = -$4,629,629.63

d.

The price quote of $3.25 is per $100 of face value. Hence the cost of one put contract will be $3,250 while the cost of the hedge

= 824 contracts * $3,250 per contract

= $2,678,000.

8 0
2 years ago
Dave and Ellen are newly married and living in their first house. The yearly premium on their homeowner’s insurance policy is $6
vfiekz [6]

Answer:

The answers are:

A) 4.23 years

B) 1.08 years

C) Off course I would recommend Dave and Ellen to install these safety items, not only because they save money but also because they are very useful.

Explanation:

The cost of the deadlocks including installation is $110 for each exterior door ($220 total). The cost for installing smoke detectors is $24 for each floor ($48 total).

The discount that Dave and Ellen can get is

  • $52 per year for installing the deadlocks
  • $26 per year for installing the smoke detectors

A) It will take Dave and Ellen 4.23 years ($220/$52) to recover the money spent on the deadlocks.

B) It will take Dave and Ellen 1.08 years ("26/$24) to recover the money spent on the smoke detectors.

3 0
2 years ago
Other questions:
  • The subject has $8,000 pool and a $2,000 chimney but no porch. a comparable that sold for $199,000 has a $3,000 porch but no poo
    6·1 answer
  • _______ allows you to convert text to a graphic element.
    14·2 answers
  • Scenario 17-5. assume that a local restaurant sells two items, salads and steaks. the restaurant's only two customers on a parti
    8·1 answer
  • John Jansen, an employee of Redwood Company, had gross earnings for the month of May of $4,000. FICA taxes are 7.65% of gross ea
    6·1 answer
  • Vandelay Industries is considering the purchase of a new machine for the production of latex. Machine A costs $3,130,000 and wil
    7·1 answer
  • Jenson College provides its own housekeeping services. The College director would like to outsource this service and has found a
    10·1 answer
  • Assume that Plavor Brands, Inc. has 10,000,000 common shares outstanding that have a par value of $2 per share. The stock is cur
    9·1 answer
  • Panther Co. had a quality-assurance warranty liability of $350,000 at the beginning of 2021 and $310,000 at the end of 2021. War
    7·1 answer
  • Decide which statement best reflects a proper attitude on the first day of work. a. I should point out other workers who are not
    16·1 answer
  • If the total costs of producing 1,500 units of output is $13,500 and this output sold to consumers for a total of $18,000, then
    7·1 answer
Add answer
Login
Not registered? Fast signup
Signup
Login Signup
Ask question!