answer.
Ask question
Login Signup
Ask question
All categories
  • English
  • Mathematics
  • Social Studies
  • Business
  • History
  • Health
  • Geography
  • Biology
  • Physics
  • Chemistry
  • Computers and Technology
  • Arts
  • World Languages
  • Spanish
  • French
  • German
  • Advanced Placement (AP)
  • SAT
  • Medicine
  • Law
  • Engineering
Andrei [34K]
2 years ago
12

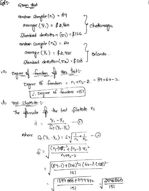
A random sample of 89 tourists in chattanooga showed that they spent an average of $2860 (in a week) with a standard deviation o

f $126; and a sample of 64 tourists in orlando showed that they spent an average of $2935 (in a week) with a standard deviation of $138. we are interested in determining if there is any significant difference between the average expenditures of all the tourists who visited the two cities.

Business
2 answers:
Vladimir79 [104]2 years ago
8 0

Answer:

(a) 151 (b) 21430 (c) p value = 0.008 (d) We reject the null hypothesis and conclude that there is a significant difference between average expenditure of all tourist who visited the cities

Explanation:

Given that:

Let the random sample n₁ = 89

The average (x₁) = $2860

The standard deviation(σ) = $126

Random sample n = 64

The average (x₂) =  $2935

The standard deviation(σ) = $138

Now,

(a) = The test degree of freedom =  n₁ +n₂₂ - 2 = 89 +62 -2

= 151

Note kindly find an attached copy work to part of the solution of this exercise below

faust18 [17]2 years ago
6 0

Answer:

The complete question is given in the explanation box below and the solutions to the problem is shown in the pictures attached herewith accordingly. Thank you.

Explanation:

a. Determine the degrees of freedom for this test.

b. Compute the test statistic.

c. Compute the p-value.

d. What is your conclusion? Let α = .05.

You might be interested in
Journalize the entries to record the following summarized operations related to production for a company using a job order cost
MaRussiya [10]

Answer:

Raw Materials  176,000 debit

 Account Payable   176,000 credit

Factory Overehad 2,700 debit

WIP                     153,700 debit

      Raw Materials           156,400 credit

Factory Overehad 12,000 debit

WIP                        141,300 debit

      Wages Payable           153,300 credit

Factory Overhead 37,000 debit

 acc dep- equipment        37,000 credit

Factory Overhead 6,100 debit

        prepaid                 6,100 credit

Factory Overhead   76,000 debit

        account payable           76,000 credit

WIP                          105,300 debit

      Factory Overhead           105,300 credit

Finished Goods 415,300 debit

          WIP                        415,300 credit

Account receivables   638,000 debit

            Sales Revenue           638,000 credit

COGS                           412,000 debit

            Finished Goods          412,000 credit

Explanation:

Much of these are self-explanatory

<u>Notes:</u>

<u>The direct materials and labor applied to produciton orders go into WIP</u>

he applied overhead goes into WIP too.

Then, for <u>other manufacturing cost we post into the debit side of manufacturing overhead.</u> This way; we can later define the subapplication or overapplication of manufacturing overhead.

The finished goods are debited and WIP credited to represent the transfer to finished goods.

The finished good which are sold will be recognize as COGS

5 0
2 years ago
Universal Containers sells through many different reseller networks. Each reseller's deals are tracked on separate opportunities
tatiyna

Answer: change the forecast category to omitted on the duplicate opportunities

Explanation:

The sales process should be modified to ensure opportunities are not double-counted in the pipeline by changing the forecast category to omitted on the duplicate opportunities.

When this is done, the multiple opportunities for the same end customer will be curtailed and hence, there'll be accuracy with regards to the pipeline report.

5 0
2 years ago
An ad for Maybelline age-minimizing makeup in Ladies' Home Journal magazine featured actress Melina Kanakaredes and offered read
mina [271]

Answer:

The correct answer is C

Explanation:

A brand named Maybelline released an ad for the product of age minimizing makeup and offering the readers the $1 off coupon, so in terms of the communication, the source is the term which is described as the person or the reader who use the service or the product.

Therefore, the source of the ad is the readers who redeem the coupon featuring off $1 on the product.

3 0
2 years ago
For the next 2 questions, use the financials of Acme Corporation. After adjusting revenue for accounts receivable and deferred r
Mekhanik [1.2K]

Answer: B. $892.1 million

Explanation:

The Revenue was $939,393 million

When calculating how much cash was generated any increase to the Accounts Receivables is removed from the revenue because it signifies that more sales were made on credit and so have not given the business cash yet.

Any increase in Deferred Revenue must be added because this is Cash that has been given to the business but for accrual purposes cannot be recognized yet. Bottomline however, the Cash has been received.

Increase in Receivables = 309,196 - 221,504

= $87,692 million

Increase in Deferred Revenue= 374,730 - 334,358

= $40,372 million

The Cash generated is therefore;

= 939,393 - 87,692 + 40,372

= $892,073

= $892.1 million

I have attached the Financial Statements of Acme Corporation.

6 0
2 years ago
Explain the importance of assessing one's Pecs before engaging in any particular entrepreunrial activity
natulia [17]
Assessing one's personal entrepreneurial competencies also known as PECs is very important to evaluate your weakness and strengths when it comes to entrepreneurship. By doing this, you will be able to fix your weaknesses and strengthen your strengths for the advantage of the activity.
5 0
2 years ago
Other questions:
  • The ratio of the percentage change in a dependent variable to the percentage change in an independent variable, all other things
    6·1 answer
  • Ralph's loan application was rejected because he has a low FICO score. What could he do to increase his score?
    11·2 answers
  • Columbia Corporation produces a single product. The company's variable costing income statement for November appears below: Colu
    6·1 answer
  • Canada and the U.S. both produce wheat and computer software. Canada is said to have the comparative advantage in producing whea
    12·1 answer
  • John has a faulty HVAC damper in his cooperative apartment. Where should John look to determine if he, or the cooperative, is re
    9·1 answer
  • Mesa Telcom has three divisions, commercial, retail, and consumer, that share the common costs of the company's computer server
    6·1 answer
  • Which of the following is​ TRUE? A. ​Time-function mapping extends the value analysis back to suppliers. B. ​Value-stream mappin
    8·1 answer
  • An automobile dealer expects to sell 1250 cars a year. The cars cost $9000 plus a fixed charge of $1000 per delivery. If it cost
    15·1 answer
  • The process of putting strategy into action is known as:_________a. Environmental analysis.b. Strategy formulation.c. Strategic
    14·1 answer
  • What are the most likely options for Maggie in the
    12·2 answers
Add answer
Login
Not registered? Fast signup
Signup
Login Signup
Ask question!