answer.
Ask question
Login Signup
Ask question
All categories
  • English
  • Mathematics
  • Social Studies
  • Business
  • History
  • Health
  • Geography
  • Biology
  • Physics
  • Chemistry
  • Computers and Technology
  • Arts
  • World Languages
  • Spanish
  • French
  • German
  • Advanced Placement (AP)
  • SAT
  • Medicine
  • Law
  • Engineering
lara [203]
2 years ago
4

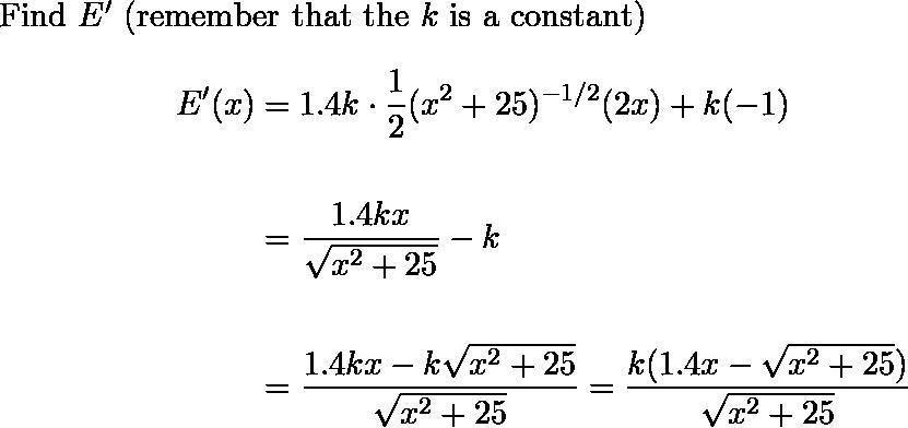
Ornithologists have determined that some species of birds tend to avoid flights over large bodies of water during daylight hours

. It is believed that more energy is required to fly over water than land because air generally rises over land and falls over water during the day. A bird with these tendencies is released from an island that is 5 km from the nearest point B on a straight shoreline, flies to a point C on the shoreline, and then flies along the shoreline to its nesting area D. Assume that the bird instinctively chooses a path that will minimize its energy expenditure. Points B and D are 13 km apart.
(a) In general, if it takes 1.4 times as much energy to fly over the water as land, how far should point C be from B in order to minimize the total energy expended in returning to its nesting area?
km
(b) Let W and L denote the energy (in joules) per kilometer flown over water and land respectively. Determine the ratio W/L corresponding to the minimum energy expenditure given that the bird flies to the shore at a point x kilometers from B. (Your answer may depend only on x.)
W/L =
(c) If the ornithologists observe that birds of a certain species reach the shore at a point 9 km from B, how many times more energy does it take this species to fly over water than land?

Mathematics
2 answers:
AleksandrR [38]2 years ago
7 0

Answer:

a )  To minimize energy bird should be fly 5.1 km away from point B.

c)  it take this species 1.144 times to fly over water than land

Step-by-step explanation:

check attachment for fourther explanation and answer

yawa3891 [41]2 years ago
4 0

Answer:

The bird should fly 5.1km from

B

You might be interested in
The function m=30-3r represents the amount m (in dollars) of money you have after renting r video games.
san4es73 [151]
The domain of the equation are all the possible values of the independent variables that would make the equation reasonable, possible or true. In this item, the independent variable is r. This could take a value of 0 up to the point when m is equal to zero.
        m = 30 - 3r = 0
              r = 10

The domain is therefore [0, 10]. 

The range is the value of the dependent variable which would be from 0 to the point when no video game is played. This is, [0, 30]. 

The function is discrete because r and m cannot take every value in the number line. 
5 0
2 years ago
How can a translation and reflection be used to map HJK to LMN?
Furkat [3]
First hjk undergoes translation that make it goes upward. then they reflect to become lmn
3 0
2 years ago
Read 2 more answers
A population of short-finned fish and a population of long-finned fish live in a lake. Fish with long fins swim faster than fish
Ksivusya [100]
A. The number of long-finned fish will increase
4 0
2 years ago
Canned dog food is on sale fo 20% off the original price. What is the discount of a can if the original price is $1.35
Kay [80]

(0.2)1.35=0.27

The discount is 27 cents off of the original price.

The new price of the can would be $1.08.

I hope this helps :)

7 0
2 years ago
Read 2 more answers
When Sophia runs the 400 meter dash, her finishing times are normally distributed with a mean of 75 seconds and a standard devia
Dmitry [639]

i really dont know the answer im confuseddd

3 0
2 years ago
Other questions:
  • Which of the following constants can be added to x^2 - 6x to form a perfect square trinomial?
    11·1 answer
  • Triangle xyz has sides xy = 3", yz = 4", and xz = 5". if angle y is a right angle, and side yz is opposite angle x, what is the
    10·2 answers
  • An arithmetic sequence has this recursive formula
    11·2 answers
  • An m-bit password is required to access a system. a hacker systematically works through all possible m-bit patterns. let x be th
    12·1 answer
  • give an example on an addition problem in which you would and would not group the addends differently to add
    15·1 answer
  • Make a list that describe five applications of a building blocks of geometry in the real world
    8·2 answers
  • Choose the function whose graph is given by:
    14·2 answers
  • A hackberry tree has roots that reach a depth of
    14·1 answer
  • 10. If PQRS is a parallelogram, then P - R is:<br>(a) 20<br>(b) 30<br>(c) 90<br>(d) 0​
    7·1 answer
  • Apples lose 85% of their weight while drying. How many pounds of fresh apples do you need to get 10.5 lb of dried apples ?
    15·2 answers
Add answer
Login
Not registered? Fast signup
Signup
Login Signup
Ask question!