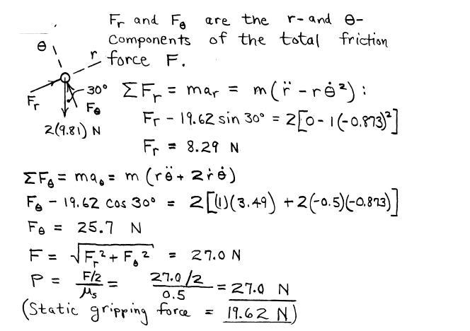
Answer:
Ps=19.62N
Explanation:
The detailed explanation of answer is given in attached files.
Answer:
D. Overrule any other laws and traffic control devices.
Explanation:
Laws and traffic control devices are undoubtedly compulsory to be followed at every point in time to control traffic and other related situations. However, there are cases when certain instructions overrule these laws and traffic control devices. For example, when a traffic police is giving instructions, and though the traffic control devices too (such as traffic lights) are displaying their own preset lights to control some traffic, the instructions from the traffic police take more priority. This is because at that point in time, the instructions from the traffic control devices might not be just applicable or sufficient.
Also, in the case of instructions given by construction flaggers, these instructions have priority over those from controlling devices. This is because during construction traffic controls are redirected from the norms. Therefore, the flaggers such be given more importance.
Answer:
The correct option is;
Neither Technician A nor B
Explanation:
The evaporative emission monitor or Evaporaive Emission Control System EVAP System monitors enables the Power Control Module of the car to check fuel system leak integrity and the vapor consumption efficiency during engine combustion
It is a requirement of EPA on cars to check the emission of smug forming evaporates from cars
Serious monitor faults can cause the turning on of the check engine lights and the vehicle will not pass OBD II test, but it will not lead to engine shutdown
It runs when the engine is 15 to 85% full and the TP sensor is between 9% and 35%.
Therefore, the correct option is that neither Technician A nor B are correct.
Answer:
Q=0.95 W/m
Explanation:
Given that
Outer diameter = 0.3 m
Thermal conductivity of material

So the mean conductivity





So heat conduction through cylinder


Q=0.95 W/m
Answer:
The answer to this question is 1273885.3 ∅
Explanation:
<em>The first step is to determine the required hydraulic flow rate liquid if working pressure and if a cylinder with a piston diameter of 100 mm is available.</em>
<em>Given that,</em>
<em>The distance = 50mm</em>
<em>The time t =10 seconds</em>
<em>The force F = 10kN</em>
<em>The piston diameter is = 100mm</em>
<em>The pressure = F/A</em>
<em> 10 * 10^3/Δ/Δ </em>
<em> P = 1273885.3503 pa</em>
<em>Then</em>
<em>Power = work/time = Force * distance /time</em>
<em> = 10 * 1000 * 0.050/10</em>
<em>which is =50 watt</em>
<em>Power =∅ΔP</em>
<em>50 = 1273885.3 ∅</em>