A = P*r*t
A = overall value
P = principal (initial value)
r = annual interest
t = time (in years)
Plug in what we have:
4000 = 2000*r*8
Simplify:
0.25 = r
The annual interest is 25%
So you should know that an independent variable is a variable that is not changed by other variables but a dependent variable does change by other variables.
So in this question, c is a dependent variable and m is an independent variable :))))
I hope this is helpful
have a nice day
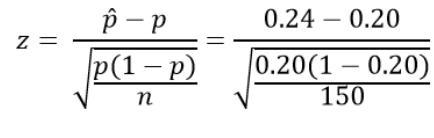
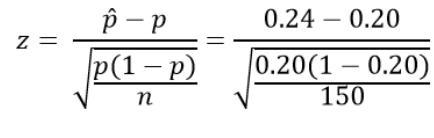
Answer:
0.0403
Step-by-step explanation:
Given that 76% of americans prefer coke to pepsi.
Let x be the number of people who prefers coke to pepsi.
X is binomial as each trial is independent, and there are only two outcomes.
A sample of 27 was taken.
We have to find the probability that less than sixty percent of the sample prefers coke to pepsi
60% of 27 = 
Required probability = 
Hence prob=0.0403
Answer:
The answer is to rotate O"N"P 180 Degrees by point N
Step-by-step explanation:
This will show the similarity between the two triangles angles.
Answer:
327.4
Step-by-step explanation:
All you have to do to simplify a number written in scientific notation is to move the decimal place to the left (if the number is negative) and to the right (if the number is positive).