answer.
Ask question
Login Signup
Ask question
All categories
  • English
  • Mathematics
  • Social Studies
  • Business
  • History
  • Health
  • Geography
  • Biology
  • Physics
  • Chemistry
  • Computers and Technology
  • Arts
  • World Languages
  • Spanish
  • French
  • German
  • Advanced Placement (AP)
  • SAT
  • Medicine
  • Law
  • Engineering
PolarNik [594]
2 years ago
13

Cellular and mobile telephony, using earth-based repeaters, has received wide acceptance and has become an essential means of co

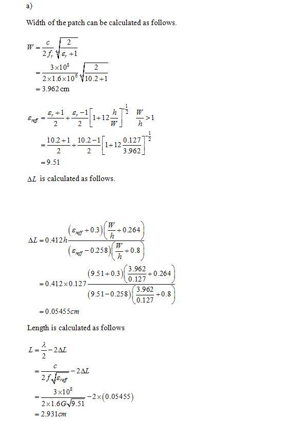
mmunication for business, even for the household. Cellular telephony by satellites is the wave of the future and communication systems are being designed for that purpose. The present allocated frequency band for satellites is at L-band ( 1.6 GHz). Various antennas are being examined for that purpose; one candidate is the microstrip patch antenna. Design a rectangular microstrip patch antenna, based on the dominant mode, that can be mounted on the roof of a car to be used for satellite cellular telephone. The designed center frequency is 1.6 GHz. the dielectric constant of the substrate is 10.2 (i.e., RT/duroid), and the thickness of the substrate is 0.127 cm.
Determine the (a) dimensions of the rectangular patch (in cm) (b) resonant input impedance, assuming no coupling between the two radiating slots

Engineering
1 answer:
uysha [10]2 years ago
3 0

Find the attachment for the solution

You might be interested in
On the reality television show "Survivor," two tribes compete for luxuries such as food and shelter. During such challenges, one
Ivan

Answer:

Realistic Group Conflict Theory

Explanation:

Realistic Group Conflict theory is a socio-psychological model of internal conflicts among groups.

These groups may compete for a scarce resources based on reality or perception.

These conflicts may be over political power, capital, or social status, etc.

According to this theory, in the competition, only one group wins over the scarce resources while the other has to lose.

Thus The reality show on the television showing two tribes competing for food and shelter where the success of one is the failure for the other is based on Realistic Group Conflict Theory.

5 0
2 years ago
Six years ago, an 80-kW diesel electric set cost $160,000. The cost index for this class of equipment six years ago was 187 and
exis [7]

Answer:

new boiler total cost = $229706.825

new boiler total cost = $127512

Explanation:

given data

power p1 = 80 kW

cost C = $160000

cost index CI 1 = 187

cost index CI 2= 194

cost capacity factor f = 0.6

power p2 = 120 kW

current cost = $18000

to find out

total cost and cost of 40 kW

solution

we consider here CN cost for new boiler and CO cost for old boiler

and x is capacity of new boiler

first we find old boiler current cost that is

current cost CO = C × \frac{CI 1 }{CI 2 }   .............1

put here value

current cost = 160000 × \frac{194 }{187 }

new current cost = $165989.304

and

use here power sizing technique for 124 kW

CN/CO = (\frac{p2}{p1} )^{f}    ...............2

put here value and find CN

CN/CO = (\frac{p2}{p1} )^{f}  

CN / 165989.304 = (\frac{120}{80} )^{0.6}  

CN = 211706.825

so new cost = $211706.825

so

total cost for new boiler is

total cost = new cost + current cost

total cost = 211706.825 + 18000

new boiler total cost = $229706.825

and

for 40 kW new cost will be

use equation 2

CN/CO = (\frac{p2}{p1} )^{f}

CN / 165989.304 = (\frac{40}{80} )^{0.6}  

CN = 109512

so new cost is $109512

so

total cost for new boiler is

total cost = new cost + current cost

total cost = 109512 + 18000

new boiler total cost = $127512

7 0
2 years ago
The emissivity of galvanized steel sheet, a common roofing material, is ε = 0.13 at temperatures around 300 K, while its absorpt
Step2247 [10]

Answer:

759.99W/m²

Explanation:

Question: If the temperature of the sheet is 77C,what is the incident solar radiation on aday with Tinf= Tsurr= 16°C?

Given

Energy Equation of the Gas

αs * Gs * A + h * A * (T inf - Tg) + εσA (Tsurr⁴- Tg⁴) = 0

Where σ= 5.67 *10^-8 W/m²K⁴ (Stefan-Boltzmann constant)

ε = 0.13 (Emisivity)

αs = 0.65 (Absorptivity for solar radiation)

h = 7W/m²K⁴

Tg = 77 + 273.15K = 350.15K

T inf = 16 + 273.15 = 288.15K

T surr= T inf = 288.15

Substitute the above values in the Gas Equation, we have

0.65 * Gs * A + 7 * A * (288.15 - 350.15) + 0.13 * 5.67 * 10^-8 * A * (288.15⁴ - 350.15⁴) = 0

0.65 * Gs * A = - 7 * A * (288.15 - 350.15) - 0.13 * 5.67 * 10^-8 * A * (288.15⁴ - 350.15⁴)

A cancels out, so we are left with

0.65 * Gs = - 7 * (288.15 - 350.15) - 0.13 * 5.67 * 10^-8 * (288.15⁴ - 350.15⁴)

0.65Gs = 434 - 0.7372 * 10^-8(−8,137,940,481.697)

0.65Gs = 434 + 0.7372 * 81.37940481697

0.65Gs = 493.992897231070284

Gs = 493.992897231070284/0.65

Gs = 759.9890726631850

Gs = 759.99W/m² ------- Approximated

3 0
2 years ago
A distância entre duas retas reversas é a medida de um segmento orientado que *?
Agata [3.3K]

Answer:

Fatec – SP) Seja A um ponto pertencente à reta r, contida no plano α. É verdade que:

a) existe uma única reta que é perpendicular à reta r no ponto A.

b) existe uma única reta, não contida no plano α, que é paralela à reta r.

c) existem infinitos planos distintos entre si, paralelos ao plano α, que contém a reta r.

d) existem infinitos planos distintos entre si, perpendiculares ao plano α e que contêm a reta r.

e) existem infinitas retas distintas entre si, contidas no plano α e que são paralelas à reta r.

2. (UF – AL) Classifique como verdadeira ou falsa cada uma das afirmativas abaixo.

1) Duas retas que não têm pontos com

8 0
2 years ago
Michelle is the general manager of a power plant. This morning, she will meet with city officials to discuss environmental issue
Irina-Kira [14]

Answer:

interpersonal.

Explanation:

Out of all the activities performed by Michelle, three activities involves the interpersonal skills.

1. Meeting with city officials

2. Meeting with section managers

3. Handling the complaint filed by an employee

All these activities involves interpersonal skills. Hence, we can say that she had spent her most of the day by using the interpersonal skills.

6 0
2 years ago
Other questions:
  • Choose the correct sequence of the following events leading to the sensory processing of a stimulus. 1. transmission 2. transduc
    13·1 answer
  • 13–27. The conveyor belt is moving downward at 4 m>s. If the coefficient of static friction between the conveyor and the 15-k
    11·1 answer
  • A horizontal pipe has an abrupt expansion from D1 5 8 cm to D2 5 16 cm. The water velocity in the smaller section is 10 m/s and
    7·1 answer
  • A dc shunt generator rated at 85 kW produces a voltage of 280 V. The brush voltage drop is 2.5 V, and the armature and field res
    6·1 answer
  • A thin-walled tube with a diameter of 12 mm and length of 25 m is used to carry exhaust gas from a smoke stack to the laboratory
    7·1 answer
  • The mechanical properties of some metals may be improved by incorporating fine particles of their oxides. If the moduli of elast
    12·1 answer
  • An air standard cycle with constant specific heats is executed in a closed pistoncylinder system and is composed of the followin
    10·1 answer
  • Which requirement is an appropriate reason for a business to use information technology (IT) tools
    9·1 answer
  • Question 14<br> Which of these is true of a spray wash cabinet?
    6·1 answer
  • A dryer is shaped like a long semi-cylindrical duct of diameter 1.5 m. The base of the dryer is occupied with water-soaked mater
    9·1 answer
Add answer
Login
Not registered? Fast signup
Signup
Login Signup
Ask question!