answer.
Ask question
Login Signup
Ask question
All categories
  • English
  • Mathematics
  • Social Studies
  • Business
  • History
  • Health
  • Geography
  • Biology
  • Physics
  • Chemistry
  • Computers and Technology
  • Arts
  • World Languages
  • Spanish
  • French
  • German
  • Advanced Placement (AP)
  • SAT
  • Medicine
  • Law
  • Engineering
Schach [20]
2 years ago
4

The accompanying table gives the number of men 65 years or older in the united states and the percentage of men age 65 or older

living below the poverty level. year men 65 years or older, m (millions) percentage below poverty level, p 1970 8.3 20.2 1980 10.3 11.1 1985 11.0 8.7 1990 12.6 7.8 1997 14.0 7.0 2000 14.4 7.5 (a) using time as the input, find a linear model for the data set for the number men 65 years or older in the united states. (let x be the years since 1970. round all numerical values to three decimal places.) m(x) = million men

Mathematics
1 answer:
lesya [120]2 years ago
7 0

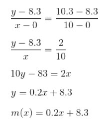
or linear model of the given information we need to write the equation of a line

taking the datas from year 1970 and 1980

since x be the year since 1970 so for 1970 x=0 and for 1980 x=10

now for 1970 population=8.3 and for 1980 it is 10.3

we need to write the equation using (0,8.3) and (10,10.3)

x=0 y=20.2

Using time as the input, find a quadratic model for the data set for the percentage of men age 65 or older below poverty level. (x is the years since 1970. Round all numerical values to three decimal places.)

p(x)=.022x^2-1.085x+20.070 % is the percentage of men in the U.S. of age 65 and older living below the poverty level x years after 1970, 0 ? x ? 30

b.Using time as the input, find a quadratic model for the data set for the percentage of men age 65 or older below poverty level. (x is the years since 1970. Round all numerical values to three decimal places.)

p(x)=.022x^2-1.085x+20.070 % is the percentage of men in the U.S. of age 65 and older living below the poverty level x years after 1970, 0 ? x ? 30

l(x) = m(x) � p(x) / 100

l(x)=(0.2x+8.3)*(.022x^2-1.085x+20.070)/100

for year 1990 x=1990-1970=20

l(x)=12.3*7.17/100=0.881

for year 2000

x=30

substituting x to the derived equation below, we have m = 0.2*30 + 8.3, the answer is 14.3 Million

You might be interested in
The data set below shows the number of books checked out from a library during the first two weeks of the month: 10, 89, 80, 95,
kompoz [17]
I am pretty sure your answer is going to be B, <span>There are two outliers, indicating very few books were rented out on those two days. I hope this helps!! :)</span>
5 0
2 years ago
Read 2 more answers
Raleigh went to gaming arcade for his birthday. His parents gave him $55 to spend. He purchased $14.25 in food and drinks, and p
Dima020 [189]

Answer: he will be able to play 32.6 games at the arcade

Step-by-step explanation:

3 0
2 years ago
Read 2 more answers
Tony wants to estimate the number of bees in a beehive.
EastWind [94]

Answer:

400

Step-by-step explanation:

assumption = in each 60 bees group there will be 15 bee from the first day

4 0
2 years ago
Read 2 more answers
One of the tallest buildings in a country is topped by a high antenna. The angle of elevation from the position of a surveyor on
irina1246 [14]

Answer:

a. distance of the surveyor to the base of the building = 2051.90 ft

b. height of the building = 1384 ft

c. Angle of elevation from the surveyor to the top of the antenna = 38.31°

d. Height of antenna  =  237.08 ft

Step-by-step explanation:

​The picture above is a illustration of the described event.

a = the height of the flag

b = the height of the building

c = distance of the surveyor from the base of the building

the angle of elevation from the position of the surveyor on the ground to the top of the building = 34°  

distance from her position to the top of the building  = 2475 ft

distance from her position to the top of the flag  = 2615 ft

​(a) How far away from the base of the building is the surveyor​ located?​

using the SOHCAHTOA principle

cos 34° = c/2475

c =  0.8290375726  × 2475

c = 2051.8679921

c = 2051.90 ft

(b) How tall is the​ building

The height of the building = b

sin 34° = opposite /hypotenuse

0.5591929035 = b/2475

b =  0.5591929035  × 2475

b =  1384.0024361

b =  1384.00 ft

​(c) What is the angle of elevation from the surveyor to the top of the​ antenna?

let the angle = ∅

cos ∅ = adjacent/hypotenuse

cos ∅ = 2051.90/2615

cos ∅ =  0.784665392

∅ = cos-1  0.784665392

∅ =   38.310258303

∅ =  38.31°

​(d) How tall is the​ antenna?

height of the antenna = a

sin 38.31° = opposite/hypotenuse

sin 38.31° = (a + b)/2615

sin 38.31° × 2615 = (a + b)

(a + b) =  0.6199159917  × 2615

(a + b) =  1621.0803182

(a + b) = 1621. 08 ft

Height of antenna = 1621. 08 - 1384.00  =  237.08031822 ft

Height of antenna  =  237.08 ft

8 0
2 years ago
Name the corresponding part if RST WXY.<br><br> ST =<br><br> A) WY<br> B) WX<br> C) XY
Xelga [282]
To determine the part of the triangle that corresponds to the parts of the other triangle, we can just see how they are arranged in the equation,
                                    RST = WXY
The corresponding side of side ST is equal to side XY. Thus, the answer is letter C. 
7 0
2 years ago
Read 2 more answers
Other questions:
  • in January the average low temperature in Montreal,Quebec,Canada, is 5.2f. the average low temperature in Cape Town South Africa
    8·2 answers
  • A square has sides with a length of 5.8 inches. what is the effect on the perimeter of this square if the lengths of the sides a
    14·1 answer
  • What is the solution to the proportion 42 over 56 equals 12 over x ? x =_______
    9·1 answer
  • What is the 185th digit in the following pattern 12345678910111213141516
    6·1 answer
  • Share 1980 in the ratio 4:7
    6·2 answers
  • The data below are times (in seconds) recorded when statistics students participated in an experiment to test their ability to d
    12·1 answer
  • Artemisia moves to a new house and she is "fifty-percent sure" that the phone number is 2537267. To verify this. she uses the ho
    9·1 answer
  • Evaluate the expression x²-3y +12 for x= -2 and y = 5​
    14·1 answer
  • BRAINLIEST:<br> Evaluate each expression for x = 2 and y = 5.<br> 3. -4x^-2 + 3y^0
    6·1 answer
  • 2. Amy had 0.87 liters of grape juice. Flora had 0.92 liters more. How much
    14·1 answer
Add answer
Login
Not registered? Fast signup
Signup
Login Signup
Ask question!