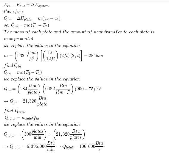
Answer:
helping handdffsdthikhdawefvbhreryiohf
Answer:
Explanation:
Floor Load:
Lo= 50psf
At= 25x25 = 625 square feet

= 13.1psf
%reduction= 13.1/50 = 26%
Fr= 3[(13.1psf)(25ft)(25ft)+(20psf)(25ft)(25ft)]= 62k
Answer:
The vertical force, F = 19.9 lb.
Explanation:
Answer:
the difference in pressure between the inside and outside of the droplets is 538 Pa
Explanation:
given data
temperature = 68 °F
average diameter = 200 µm
to find out
what is the difference in pressure between the inside and outside of the droplets
solution
we know here surface tension of carbon tetra chloride at 68 °F is get from table 1.6 physical properties of liquid that is
σ = 2.69 ×
N/m
so average radius =
= 100 µm = 100 ×
m
now here we know relation between pressure difference and surface tension
so we can derive difference pressure as
2π×σ×r = Δp×π×r² .....................1
here r is radius and Δp pressure difference and σ surface tension
Δp =
put here value
Δp =
Δp = 538
so the difference in pressure between the inside and outside of the droplets is 538 Pa