Answer:
Total no. of ways to line up cars is 20! = 2.43 c 10^18
Probability that the cars alternate is 0.00001 or 0.001%
Explanation:
Since, the position of a car is random.Therefore, number ways in which cars can line up is given as:
<u>No. of ways = 20! = 2.43 x 10^18</u>
For the probability that cars alternate, two groups will be formed, one consisting of US-made 10 cars and other containing 10 foreign made. The number of favorable outcomes for this can be found out as the arrangements of 2! between these groups multiplied by the arrangements of 10! for each group, due to the arrangements among the groups themselves.
Favorable Outcomes = 2! x 10! x 10!
Thus the probability of event will be:
Probability = Favorable Outcomes/Total No. of Ways
Probability = (2! x 10! x 10!)/20!
<u>Probability = 0.00001 = 0.001%</u>
The input values are the following


By using the energy equilibrium
, 
we have
eq (1)
∴

Now, for specific energy h2:

By replacing the eq (1) we have


By using a standard ideal-gas properties of air we have

Answer:
The force would be 57.8 N if it was applied at a 30-degree angle from perpendicular.
Explanation:
We know that torque and force are represented by the following equation
τ = r x F sinθ ---- (1)
where τ is Torque, r is radius, F is force and θ is the angle between the force and lever arm.
Given data:
F = 50 N
r = 0.2 m
we have to find the force when θ = 30°
Putting these values in equation 1, we get
τ = 0.2 x 50 x sin(90°)
τ = 10 Nm
so Torque is 10 Nm
Now we will calculate the force was applied at a 30 degree angle from perpendicular, in this case the equation 1 becomes as
τ = r x F cosθ
Putting the values of τ , r, θ and F in above equation
10 = 0.2 x F x cos(30°)
Rearranging the above equation
F = 10 / (0.2 x cos (30°))
F = 10 / 0.173
F = 57.8 N
Answer:
55.67W/m
Explanation:
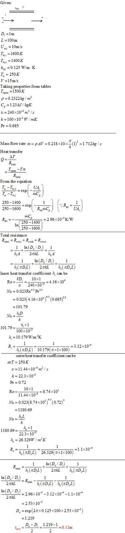
Attached is the full solution.
Only put ciilant into ur radiator when the engine is cool (D)