answer.
Ask question
Login Signup
Ask question
All categories
  • English
  • Mathematics
  • Social Studies
  • Business
  • History
  • Health
  • Geography
  • Biology
  • Physics
  • Chemistry
  • Computers and Technology
  • Arts
  • World Languages
  • Spanish
  • French
  • German
  • Advanced Placement (AP)
  • SAT
  • Medicine
  • Law
  • Engineering
Tema [17]
2 years ago
14

An unknown compound displays singlets at δ 2.1 ppm and 2.56 ppm in the ratio of 3:2. what is the structure of the compound?

Chemistry
1 answer:
olasank [31]2 years ago
7 0

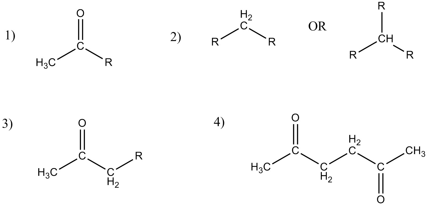
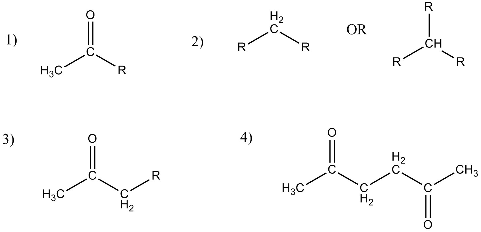
1) As can be seen from any 1H NMR chemical shift ppm tables, hydrogens which have δ values from 2ppm to 2.3ppm are hydrogens from carbon which is bonded to a carbonyl group. From this, we can conclude that our hydrogens belong to the type, but from 2 different alkyl groups because of 2 different signals.

 

2) So, one alkyl group is CH3 and second one can be CH or CH2.

 

3) If we know that ratio between two types of hydrogens is 3:2, it can be concluded that second alkyl group is CH2. 


4) Finally, we don't have any other signals and it indicates that part of the compound which continues on CH2 is exactly the same as the first part.

The ratio remains the same, 3:2 ie 6:4

You might be interested in
Certain glass objects are not meant to be heated and could shatter if exposed to a heat source. What two examples of heat-sensit
Stels [109]

Answer: the heat-sensitive glassware that were given are : Volumetric and Graduated cylinder.

Explanation:glass material that reacts to ambient temperatures radiated off of other surfaces like hands or water is known as heat sensitive glassware. They are not meant to be heated and could shatter if exposed to a heat source. Examples from the video includes Volumetric and Graduated cylinder. Hope this helps. Thanks.

8 0
2 years ago
If a gas has a volume of 750 mL at 25oC, what would the volume of the gas be at 55oC?
blagie [28]

Answer:

The answer to your question is     V2 = 825.5 ml

Explanation:

Data

Volume 1 = 750 ml

Temperature 1 = 25°C

Volume 2= ?

Temperature 2 = 55°C

Process

Use the Charles' law to solve this problem

                V1/T1 = V2/T2

-Solve for V2

                V2 = V1T2 / T1

-Convert temperature to °K

T1 = 25 + 273 = 298°K

T2 = 55 + 273 = 328°K

-Substitution

                V2 = (750 x 328) / 298

-Simplification

                V2 = 246000 / 298

-Result

                V2 = 825.5 ml

             

7 0
2 years ago
Explain how lubricating the wheels of the skateboard can increase the speed of the girl
weqwewe [10]
Less friction to stop the wheel from turning
8 0
2 years ago
Read 2 more answers
Which of the following is correctly balanced redox half reaction? Group of answer choices A. 14H+ + 9e- + Cr2O72- ⟶ Cr3+ + 7H2O
oee [108]

Answer:

The correct option is: B. 14 H⁺ + 6 e⁻ + Cr₂O₇²⁻ ⟶ 2 Cr³⁺ + 7 H₂O

Explanation:

Redox reactions is an reaction in which the oxidation and reduction reactions occur simultaneously due to the simultaneous movement of electrons from one chemical species to another.

The reduction of a chemical species is represented in a reduction half- reaction and the oxidation of a chemical species is represented in a oxidation half- reaction.

<u>To balance the reduction half-reaction for the reduction of Cr₂O₇²⁻ to Cr³⁺</u>:

Cr₂O₇²⁻ ⟶ Cr³⁺

First the <u>number of Cr atoms</u> on the reactant and product side is balanced

Cr₂O₇²⁻ ⟶ 2 Cr³⁺

Now, Cr is preset in +6 oxidation state in Cr₂O₇²⁻ and +3 oxidation state in Cr³⁺. So each Cr gains 3 electrons to get reduced.

Therefore, <u>6 electrons are gained</u> by 2 Cr atoms of Cr₂O₇²⁻ to get reduced.

Cr₂O₇²⁻ + 6 e⁻ ⟶ 2 Cr³⁺

Now the total charge on the reactant side is (-8) and the total charge on the product side is (+6).

From the given options it is evident that the reaction must be balanced in acidic conditions.

Therefore, to <u>balance the total charge</u> on the reactant and product side,<u> 14 H⁺ is added on the reactant side.</u>

Cr₂O₇²⁻ + 6 e⁻ + 14 H⁺ ⟶ 2 Cr³⁺

Now to <u>balance the number of hydrogen and oxygen atoms, 7 H₂O is added on the product side.</u>

Cr₂O₇²⁻ + 6 e⁻ + 14 H⁺ ⟶ 2 Cr³⁺ + 7 H₂O

<u>Therefore, the correct balanced reduction half-reaction is:</u>

Cr₂O₇²⁻ + 6 e⁻ + 14 H⁺ ⟶ 2 Cr³⁺ + 7 H₂O

3 0
2 years ago
Use the specific heat capacity that you calculated for granite to determine how many grams of granite at the initial temperature
Valentin [98]

Answer:

Explanation:

specific heat of granite s = .79 J / g / k

let the mass of granite = m

heat lost by granite = heat gained by water

heat lost = mass x specific heat x drop in temperature

= m x .79 x (80 - 20.45)

heat gained by water

= 3000 x 4.186 x (20.45- 20)

heat lost by granite = heat gained by water

m x .79 x 59.55  =  3000 x 4.186 x .45

m = 120.12 g .

4 0
2 years ago
Other questions:
  • White phosphorus, P4, is prepared by fusing
    12·1 answer
  • Examine the sets of bonds given in the choices. which one arranges the bonds in order of increasing (shortest to longest) bond l
    11·1 answer
  • The equilibrium constant for the gas-phase isomerization of borneol (c10h17oh) to isoborneol at 503 k is 0.106. a mixture consis
    12·1 answer
  • Abdul swabs one of his sister’s arms with water. He swabs her other arm with rubbing alcohol.
    14·1 answer
  • a block of iron has a mass of 826g. what is the mass of a block of magnesium that has the same volume as the block of iron? the
    14·1 answer
  • Iodine has a lower atomic weight than tellurium (126.90 for I, 127.60 for Te) even though it has a higher atomic number (53 for
    6·2 answers
  • How is a yeast cell different from an onion skin cell? Yeast can reproduce by budding. Onion cells do not reproduce by budding.
    8·2 answers
  • In the following list, only ________ is not an example of a chemical reaction. the production of hydrogen gas from water the tar
    11·1 answer
  • Morant Bay is 33 km south of Port Antonio a pigeon can fly at a speed of 1.2 m s what is the displacement of morant bay from Por
    11·1 answer
  • Explain two ways that photosynthesis helps a predator like a wolf or<br> tiger.
    12·1 answer
Add answer
Login
Not registered? Fast signup
Signup
Login Signup
Ask question!