answer.
Ask question
Login Signup
Ask question
All categories
  • English
  • Mathematics
  • Social Studies
  • Business
  • History
  • Health
  • Geography
  • Biology
  • Physics
  • Chemistry
  • Computers and Technology
  • Arts
  • World Languages
  • Spanish
  • French
  • German
  • Advanced Placement (AP)
  • SAT
  • Medicine
  • Law
  • Engineering
koban [17]
2 years ago
10

Draw the products of the complete hydrolysis of a ketal. draw all products of the reaction.

Chemistry
2 answers:
Advocard [28]2 years ago
8 0
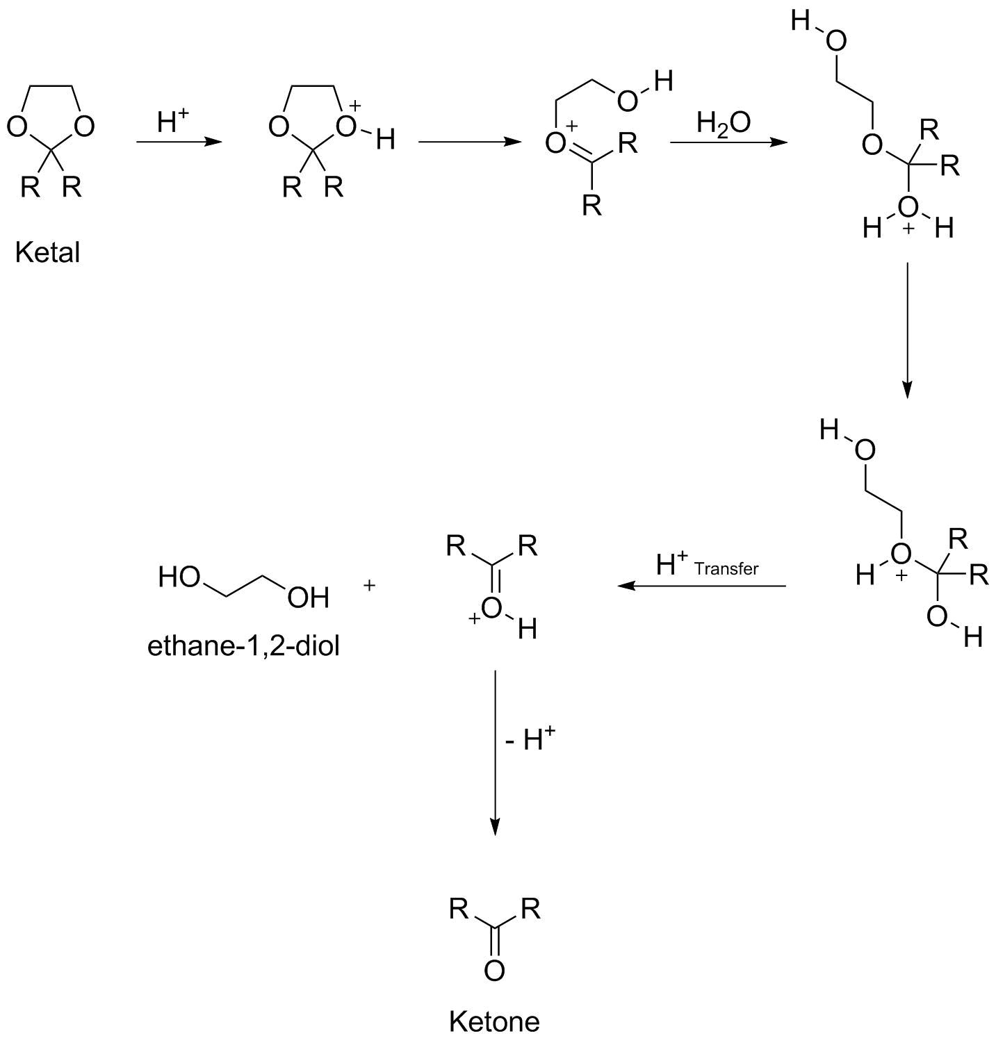
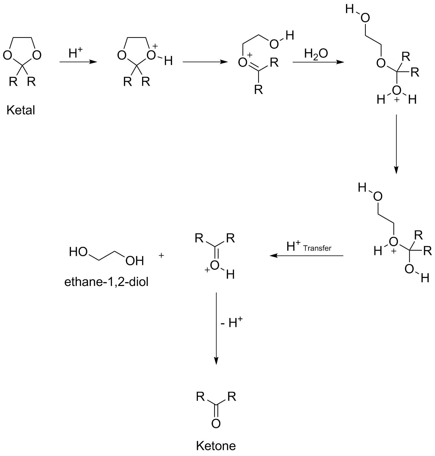
Following reaction shows the complete hydrolysis of ketal. The products formed are 1) Diol and 2) Ketone. Mechanism is shown below,

ser-zykov [4K]2 years ago
4 0

Answer:

The main products obtained from complete hydrolysis of a ketal are ketone (90%) and hydrate (10%), we also obtained as byproducts two alcohols (R_{1}OH and R_{2}OH). See attached image

Explanation:

To understand this question, one has to know what a ketal is and also what is complete hydrolysis.

Ketal: functional group present in organic chemistry that has a central carbon attached to 2 R groups and 2 OR.

Hydrolysis: reaction of water with a molecule

We can observe in the diagram that this reaction is found in equilibrium, meaning that depending on the concentration of the diverse substrates and products, the reaction will favor the direction towards one or the other.

Note: In the last part of the reaction we can observe that the equilibrium favors the production of ketone over that of a hydrate. This occurs since a ketone is more stable than that of a hydrate (about 90% will be ketone while 10% will be a hydrate).

You might be interested in
What mass of AgBr can be produced starting with 34.3G of NaBr? (Stoichiometry method)
olga nikolaevna [1]
The equation is already balanced so the mole ratio is just 1/1 and from the question you could conclude that the equation is a single displacement

5 0
2 years ago
The atomic weight of iodine is less than the atomic weight of tellurium. However, Mendeleev listed iodine after tellurium in his
ziro4ka [17]

Answer:

The reason for the suspicion was because the manner in which iodine reacted chemically as well as its other chemical properties, indicated that it belonged in the same group as chlorine and bromine, while the much heavier tellurium should be placed in the previous group

The suspicion was proved to be correct when the atomic number of tellurium was found to be 52 and that of iodine was found to be 53 by later scientists

Explanation:

5 0
2 years ago
When atoms lose or gain electrons in chemical reactions they form?
taurus [48]
<span>When atoms lose or gain electrons in chemical reactions they form? 
</span>Ions
3 0
2 years ago
Sulfur and oxygen react to produce sulfur trioxide. In a particular experiment, 7.9 grams of SO3 are produced by the reaction of
shutvik [7]

Answer:

  • <u>79%</u>

Explanation:

<u>1) Balanced chemical equation:</u>

  • 2S + 3O₂ → 2SO₃

<u>2) Mole ratio:</u>

  • 2 mol S : 3 mol O₂ : 2 mol SO₃

<u>3) Limiting reactant:</u>

  • Number of moles of O₂

        n = 6.0 g / 32.0 g/mol = 0.1875 mol O₂

  • Number of moles of S:

         n = 7.0 g / 32.065 g/mol = 0.2183 mol S

  • Ratios:

        Actual ratio: 0.1875 mol O₂ / 0.2183 mol S =0.859

        Theoretical ratio: 3 mol O₂ / 2 mol S = 1.5

Since there is a smaller proportion of O₂ (0.859) than the theoretical ratio (1.5), O₂ will be used before all S be consumed, and O₂ is the limiting reactant.

<u>4) Calcuate theoretical yield (using the limiting reactant):</u>

  • 0.1875 mol O₂ / x = 3 mol O₂ / 2 mol SO₃

  • x = 0.1875 × 2 / 3 mol SO₃ =  0.125 mol SO₃

<u>5) Yield in grams:</u>

  • mass = number of moles × molar mass = 0.125 mol × 80.06 g/mol =  10.0 g

<u>6) </u><em><u>Percent yield:</u></em>

  • Percent yield, % = (actual yield / theoretical yield) × 100
  • % = (7.9 g / 10.0 g) × 100 = 79%
6 0
2 years ago
Draw a structure containing only carbon and hydrogen that is a stable alkyne of five carbons containing a ring.
stepladder [879]

Answer:

                     Ethynylcyclopropane is the stable isomer for given alkyne.

Explanation:

                     In order to solve this problem we will first calculate the number of Hydrogen atoms. The general formula for alkynes is as,

                                                    CₙH₂ₙ₋₂

Putting value on n = 5,

                                                    C₅H₂.₅₋₂

                                                    C₅H₈

Also, the statement states that the compound contains one ring therefore, we will subtract 2 hydrogen atoms from the above formula i.e.

                      C₅H₈   ------------(-2 H) ---------->  C₅H₆

Hence, the molecular formula for given compound is C₅H₆

Below, 4 different isomers with molecular formula C₅H₆ are attached.

                                      The first compound i.e. ethynylcyclopropane is stable. As we know that alkynes are sp hybridized. The angle between C-C-H in alkynes is 180°. Hence, in this structure it can be seen that the alkyne part is linear and also the cyclopropane part is a well known moiety.

                                      Compounds 3-ethylcycloprop-1-yne, <u>cyclopentyne </u>and 3-methylcyclobut-1-yne are highly unstable. The main reason for the instability is the presence of triple bond in three, five and four membered ring. As the alkynes are linear but the C-C-H bond in these compound is less than 180° which will make them highly unstable.

5 0
2 years ago
Other questions:
  • A chemist in an imaginary universe, where electrons have a different charge than they do in our universe, performs the millikan
    6·1 answer
  • The salt sodium sulfate, Na2SO4, can be formed by a reaction between...
    9·1 answer
  • A 0.89% (w/v) sodium chloride solution is referred to as physiological saline solution because it has the same concentration of
    14·1 answer
  • Rank the size of a change in temperature of one degree Fahrenheit, one degree Celsius, and one kelvin. In other words, if a ther
    6·1 answer
  • Describe the sequence of adding ingredients to make the recipe for condensed tomato soup. To mix the ingredients, you have an in
    7·1 answer
  • ASAP PLEASE HELP:
    11·2 answers
  • For which of the following reactions is ΔHrxn equal to ΔHf of the product? You do not need to look up any values to answer this
    10·1 answer
  • NaOH was titrated to the phenolphthalein endpoint with a known concentration of HCl. The student conducting the experiment place
    5·1 answer
  • A 60.0 mL sample of 0.250 M NaOH is added to a beaker containing 125 mL of 0.120 M HOCl. Ka for HOCl is 3.5 x 10-8 at 25o C. Fin
    6·1 answer
  • An 8.50 L tire contains 0.552 mol of gas at a temperature of 305 K. What is the pressure (in atm and in psi) of the gas in the t
    14·2 answers
Add answer
Login
Not registered? Fast signup
Signup
Login Signup
Ask question!