Answer:
Explanation:
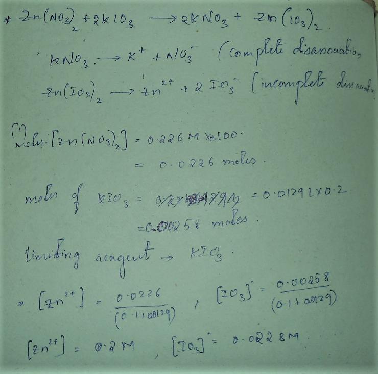
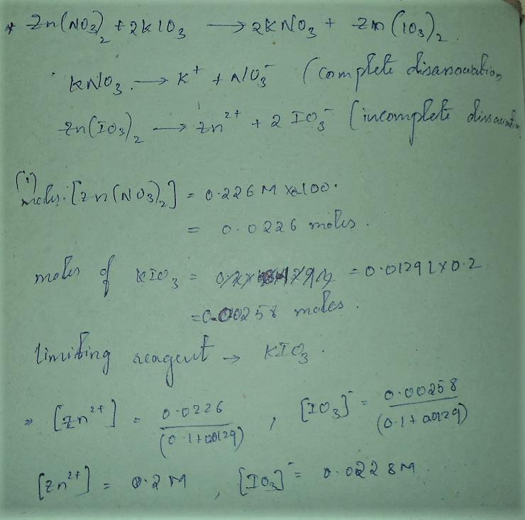
Complete the table below and determine the solubility product constant.
[Zn(NO₃)₂] 0, M Initial 0.226, 0.101 0.0452, 0.0118
[KIO₃] 0, M Titrant 0.200, 0.200, 0.200, 0.200
V₀, mL of Zn(NO₃)₂100.0, 100.0, 100.0, 100.0
V, mL of KIO₃ titrant 12.9, 12.4, 13.0, 18.3
What needs to be determined are the following for each column/sample
V0 + V, mL
[Zn²⁺] + [IO³⁻] ⇄ [Zn²⁺][IO³⁻]2
log [Zn²⁺][IO³⁻]2

Then there's the determination of Ksp itself
log Ksp = Ksp of Zn(IO3)2 =
Considering this, which of the ion products is closest to Ksp, and why?
Finally, the titration volumes for the first three samples don't vary greatly. However the last sample is considerably larger. Why is this to be expected?
The attached figures shed more light on the solution to this problem