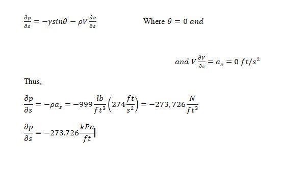
Answer:
r = 4.21 10⁷ m
Explanation:
Kepler's third law It is an application of Newton's second law where the forces of the gravitational force, obtaining
T² = (
) r³ (1)
in this case the period of the season is
T₁ = 93 min (60 s / 1 min) = 5580 s
r₁ = 410 + 6370 = 6780 km
r₁ = 6.780 10⁶ m
for the satellite
T₂ = 24 h (3600 s / 1h) = 86 400 s
if we substitute in equation 1
T² = K r³
K = T₁²/r₁³
K =
K = 9.99 10⁻¹⁴ s² / m³
we can replace the satellite values
r³ = T² / K
r³ = 86400² / 9.99 10⁻¹⁴
r = ∛(7.4724 10²²)
r = 4.21 10⁷ m
this distance is from the center of the earth
A girl leans against a wall and the wall pushes on the girl.
A baseball hits a glove and the glove pushes on the ball.
A cat rubs up against a tree and the tree pushes against the cat
Answer:bowling ball has greater kinetic energy
Explanation:
Kinetic energy of bowling ball:
mass=m=5kg
Velocity=v=6m/s
Kinetic energy =ke
Ke=0.5 x m x v x v
Ke=0.5 x 5 x 6 x 6
Ke=90J
Kinetic energy of ship:
mass=m=120000kg
velocity=v=0.02m/s
Ke=0.5 x m x v x v
Ke=0.5 x 120000 x 0.02 x 0.02
Ke=24J
Answer:
T = 273 + (-50) = 273 – 50 = 223 K
R = 188.82 J / kg K for CO2
Density (Martian Atmosphere) = P / RT = 900 / 188.92 x 223 = 900 / 42129.16 = 0.0213 kg / 
T = 273 +18 = 291 K, R = 287 J / kg k (for air) P = 101.6 k Pa = 101600 Pa
Density (Earth Atmosphere) = P / RT = 101600 / 287 x 291 = 1.216 kg /
At the rear.
PWC stands for personal watercraft, and it is a small powerboat. The main components of a PWC are the hull (body of the boat), deck (surface where people walk/stand), throttle (controls speed), steering nozzle and water intake.