answer.
Ask question
Login Signup
Ask question
All categories
  • English
  • Mathematics
  • Social Studies
  • Business
  • History
  • Health
  • Geography
  • Biology
  • Physics
  • Chemistry
  • Computers and Technology
  • Arts
  • World Languages
  • Spanish
  • French
  • German
  • Advanced Placement (AP)
  • SAT
  • Medicine
  • Law
  • Engineering
kozerog [31]
2 years ago
12

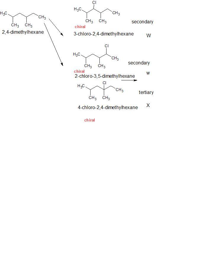
Compound W, C8H17Br, and X, C8H17Cl, are products of the radical bromination (W), and chlorination (X), of 2,4-dimethylhexane. W

and X are each chiral. W reacts readily in water to form a chiral substitution product Y, C8H17OH. Reaction of a single enantiomer of W produces a single enantiomer of Y as the only substitution product. X likewise reacts readily in water though at a slower rate than W; a chiral substitution product Z, C8H17OH, is again formed. Unlike W, however, reaction of a single enantiomer of X produces Z that is nearly racemic. Propose structures for W and X.

Chemistry
1 answer:
oksian1 [2.3K]2 years ago
5 0

Answer:

The possible structures are shown in figure.

Explanation:

The seven isomers that could be formed from the given compound due to radical halogenation are shown in the figure.

We have mentioned only chlorine as group for showing just the chiral nature of the compound.

A chiral compound has a carbon with all the four groups different from each other.

There are three structures which are chiral (as shown).

W is the brominated product

X is the chlorinated product.

1) W reacts readily in water to form a chiral substitution product Y, C8H17OH.

Reaction of a single enantiomer of W produces a single enantiomer of Y as the only substitution product.: It means that the substitution is SN2 which is possible if the compund is not tertiary.

2) X likewise reacts readily in water though at a slower rate than W; a chiral substitution product Z, C8H17OH, is again formed. Unlike W, however, reaction of a single enantiomer of X produces Z that is nearly racemic.

It means that it will undergo SN1 reaction,. So the alkyl halide must be tertiary.

The possible structures are shown in figure.

You might be interested in
At 10°c one volume of water dissolves 3.10 volumes of chlorine gas at 1.00 atm pressure. what is the henry's law constant of cl2
s344n2d4d5 [400]
Answer is:  0,133 mol/ l· atm.
T(chlorine) = 10°C = 283K.
p(chlorine) = 1 atm.
V(chlorine) = 3,10 l.
R - gas constant, R = 0.0821 atm·l/mol·K. 
Ideal gas law: p·V = n·R·T
n(chlorine) = p·V ÷ R·T.
n(chlorine) = 1atm · 3,10l ÷ 0,0821 atm·l/mol·K · 283K = 0,133mol.
Henry's law: c = p·k.
k - <span>Henry's law constant.
</span>c - solubility of a gas at a fixed temperature in a particular solvent.
c = 0,133 mol/l.
k = 0,133 mol/l ÷ 1 atm = 0,133 mol/ l· atm.

4 0
2 years ago
Hafnium has six naturally occurring isotopes: 0.16% of 174Hf, with an atomic weight of 173.940 amu; 5.26% of 176Hf, with an atom
ser-zykov [4K]

Answer:

177.277amu

Explanation:

the total occuring isotopes for Hafnium is =6.

First isotope had an atomic weight of 173.940amu

Second isotope =175.941amu

Third isotope =176.943amu

Fourth isotope=177.944amu

Fifth isotope. =178.946amu

sixth isotope .179.947amu

<em>Avera</em><em>ge</em><em> </em><em>ato</em><em>mic</em><em> </em><em>wei</em><em>ght</em><em> </em><em>of</em><em> </em><em>Haf</em><em>nium</em><em>=</em><em> </em><em>sum</em><em> </em><em>of</em><em> </em><em>all</em><em> </em><em>the </em><em>atomi</em><em>c</em><em> </em><em>weights</em><em> </em><em>of</em><em> </em><em>the</em><em> </em><em>iso</em><em>topes</em><em>/</em><em> </em><em>Tota</em><em>l</em><em> </em><em>occu</em><em>ring</em><em> </em><em>isotopes</em>

Thus, 173.940amu+175.941amu+176.943amu+177.944amu+178.946amu+179.947amu.= 1063.661amu

Average atomic weight= 1063.661amu /6 = 177.2768333amu

= 177.277amu to 3 decimal places.

6 0
2 years ago
Mgcl2 has a concentration of 0.054 M in the ocean. How many grams are present in 25ml of sea water ​
d1i1m1o1n [39]

Answer:

0.129g MgCl2

Explanation:

For this we need to understand the concept of molarity.

Molarity is number of moles of solute/litres of solution

M=n/L

Here we are given molarity of 0.054M and volume of 25ml. we just plug this in formula to find moles of MgCl2

0.054=x/(25/1000) (we divided 25 by 1000 to convert it to litres of solution)

x=0.00135 moles of MgCl2 (we are not done yet the question asks for grams so to convert to grams we multiply by molar mass of MgCl2.)

0.00135molesMgCl2 x 95.211g MgCl2/1molMgCl2

= 0.129g MgCl2

3 0
2 years ago
A medical class is hearing a lecture on vision. The doctor asks them what happens when the eye produces too much fluid, causing
Charra [1.4K]

Answer:

The doctor is discussing an Ocular Hypertension disease.

Explanation:

If we have a small space with a defined volume like in this case an eye, when we fill this space with a liquid, the liquid will occupy the whole volume available, and when it is much liquid or fluid, and the volume of the eye can not expand it will start to generate an internal pressure. This higher pressure is called Hypertension.  

3 0
2 years ago
8.03 Solutions Lab Report<br> Does anyone have a PDF or Document of FLVS 8.03 Solutions Lab
GarryVolchara [31]

8.03 solutions report is described below.

Explanation:

8.03 Solutions Lab Report

In this laboratory activity, you will investigate how temperature, agitation, particle size, and dilution affect the taste of a drink. Fill in each section of this lab report and submit it and your pre-lab answers to your instructor for grading.  

Pre-lab Questions:

In this lab, you will make fruit drinks with powdered drink mix. Complete the pre-lab questions to get the values you need for your drink solutions.  

Calculate the molar mass of powered fruit drink mix, made from sucrose (C12H22O11).

Using stoichiometry, determine the mass of powdered drink mix needed to make a 1.0 M solution of 100 mL.

7 0
2 years ago
Read 2 more answers
Other questions:
  • A compound that contains both potassium and oxygen formed when potassium metal was burned in oxygen gas. the mass of the compoun
    7·2 answers
  • The formation of large molecules from small repeating units is known as what kind of reaction? Oxidation reduction condensation
    7·1 answer
  • Which family on the periodic table is least likely to enter into chemical reactions? 1 2 17 18
    10·2 answers
  • NaOH was titrated to the phenolphthalein endpoint with a known concentration of HCl. The student conducting the experiment place
    5·1 answer
  • An airplane cabin is pressurized to 5.80x10^2.What is the pressure inside the cabin in atmospheres?
    14·1 answer
  • Balance the following redox reaction occurring in an acidic solution. The coefficient of Cr2O72−(aq) is given. Enter the coeffic
    13·1 answer
  • The isotope 64Cu has t1/2 of 12.7 hours. If the initial concentration of this isotope in an aqueous solution is 845 ppm, what wi
    5·1 answer
  • A 8.00g of a certain Compound X, known to be made of carbon, hydrogen and perhaps oxygen, and to have a molecular molar mass of
    5·1 answer
  • A mixture containing 20 mole % butane, 35 mole % pentane and rest
    15·2 answers
  • A student is trying to classify an unidentified, solid gray material as a metal or a nonmetal. Which question will best help the
    6·1 answer
Add answer
Login
Not registered? Fast signup
Signup
Login Signup
Ask question!