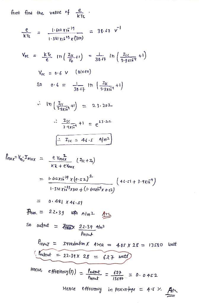
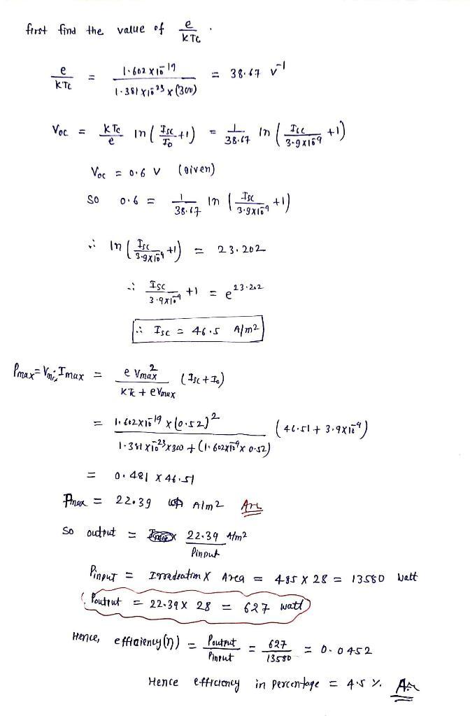
Answer:
8.9
Explanation:
We can start by calculating the initial elastic potential energy of the spring. This is given by:
(1)
where
k = 35.0 N/m is the initial spring constant
x = 0.375 m is the compression of the spring
Solving the equation,

Later, the professor told the student that he needs an elastic potential energy of
U' = 22.0 J
to achieve his goal. Assuming that the compression of the spring will remain the same, this means that we can calculate the new spring constant that is needed to achieve this energy, by solving eq.(1) for k:

Therefore, Tom needs to increase the spring constant by a factor:

Answer:
Speed of the cart at the top of the loop = 34.3 m/s
Explanation:
Gravitational acceleration = g = 9.81 m/s2
Your mass = m
You feel three times as heavy at the top of the loop.
Normal force on you = N = 3mg
Radius of the loop = R
Speed of the cart = V
Centripetal force required for the circular motion = Fc
F = m
The centripetal force is provided by the normal force on you which is directed downwards and your own weight which is directed downwards.
Fc = mg + N
Fc = mg + 3mg
Fc = 4mg
m12 -= 4mg R
V = 4gR
V = 4(9.81)(30)
V = 34.3 m/s
Speed of the cart at the top of the loop = 34.3 m/s
Since it travels at 21,000 kilometers per hour, you'd just multiply that with 3.5 to get 73,500. So your answer is 73,500.
Answer:


And as we can see we have that:
So then the best answer would be:
a. vA = vB/4
Explanation:
For this case we know the following conditions:
same length
both wires with the same current
Both wires are made of he same material, so then the number of electrons per cubic meter (n) are the same for both wires 
We also know that
where r represent the radius.
Since we know that a wire have a cylindrical form we can find the area for each case:


So then we have that 
Now we know that from the definition the drift velocity of electron in a wire is given by:

Where I is the current, n the number of electrons per cubic meter, e is the charge for the electron and A the area.
If we replace we have this:


And as we can see we have that:
So then the best answer would be:
a. vA = vB/4
Keeping in mind that the conversion between calories and Joules is

we can write the conversion factor using the kilocalories:

The energy released in our problem is
so we can set a simple proportion to find its equivalent in kcal:

from which we find: